· 灵敏性更高:基于RACE技术保证低丰度TCR变体的检出 · 特异性更强:获得全长reads,目的reads占比高,更正确的配对信息 · 5’端捕获测序差异表达分析:通过比对5’末端信息,产生所有转录本差异表达数据 · 灵活、高通量的单细胞分析:单次实验同时分析8个样品,生成上千单细胞的测序数据 |
| |
| ■ 应用领域 |
· 人单细胞TCR库分析(TCRα和TCRβ克隆型) · 5’端差异表达分析 |
| |
| ■ 产品说明 |
Takara Bio高通量TCR免疫组库解决方案应用SMART技术(Switching Mechanism at 5’End of RNA Template)和基于5’RACE的方法,用于捕获由ICELL8 cx Single-Cell System(Code No. 640188)分选得到的上千“活的单细胞”的TCR转录本完整V(D)J可变区域。产生的文库可同时提供α链和β链的多样性信息。 实验流程中,cDNA扩增阶段整合了Illumina特异的接头序列,产生的文库带有index接头,可直接用于Illumina平台测序。Takara Bio高通量TCR免疫组库解决方案也可以同时支持5’末端差异表达分析。 在ICELL8 cx单细胞分选系统上,与单个T细胞一起被分注到TCR芯片(Code No. 640200)上的还有阳性对照和阴性对照。每个TCR芯片含有5,184个纳升级微孔,预制了1,728种Barcode,每个Barcode在芯片上被预制3次。使用CellSelect软件鉴定出具有“活的单细胞”微孔后,SMART RT-PCR试剂将被分注到含“活单细胞”的微孔中,用于后续分析。连接了Barcode序列的cDNA继续在微孔芯片上完成PCR扩增。接下来,从芯片中将连接好Barcode序列的扩增产物集中收集,并进行纯化。纯化后的cDNA作为第一轮TCR特异性PCR的模板,而第一轮TCR特异性PCR的产物作为第二轮TCR特异性PCR的模板,并整合Illumina index序列引物。 |
| |
| ■ 产品组分 |
| 完整的工作流程需要下列Takara Bio产品。请参考User Manual得到一份完整的试剂耗材清单: |
| 用于ICELL8 cx Single-Cell System |
· ICELL8 cx TCR Chip (Code No. 640200) · ICELL8 Human TCR a/b Profiling Reagent Kit (Code No. 640182) · ICELL8 Human TCR a/b Profiling Indexing Primer Set (Code No. 640179, 640180, 640181)* · ICELL8 Collection Kit-L (Code No. 640212) · ICELL8 cx Loading Kit (Code No. 640197) |
| User Manual:ICELL8® cx Human TCR a/b Profiling user Manual |
| *NOTE:Code No. 640179包含的Primer量足够1张芯片使用,若实验中需要使用多张芯片,请购买合适的indexing primer set。640180适用于5张芯片的实验,640181适用于10张芯片的实验。 |
| |
 |
| 图1 ICELL8 Human TCR a/b Profiling技术原理流程图 |
| |
 |
| 图2 ICELL8 Human TCR a/b Profiling实验流程图 |
| |
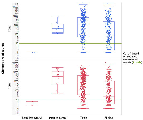
| 使用ICELL8单细胞分选系统对T细胞和PBMCs样品进行单细胞分选及后续单细胞TCR克隆型分析(图3)和5’端差异表达分析(图4)。 |
 |
| 图3. T细胞与PBMCs的克隆型read计数 使用Excel对MiXCR软件输出结果进行筛选,为大于阴性对照(1X PBS)的TCRa和TCRb克隆类型定义一个read阈值(绿色实线为阈值线,对应read计数值为8)。数据使用统计软件JMP进行分析,并将结果绘制成箱图。图中点代表一个细胞中的TCRa(蓝色)和TCRb(红色)克隆型。阴性对照用于阈值设定,以便对分析样品和NTC(或低read克隆型)进行区分。Negative control 15个,Positive control 15个,T cells 530个,PBMCs 590个。 |
| |
| 点击查看Technote |
| |
 |
| 图4. T细胞与PBMCs的5’端差异表达分析 使用与图3相同来源的cDNA进行单细胞5’端差异表文库构建,评估每个Barcode获得的reads数。箱图中每个点代表一个指定细胞中检测到的reads数。文库测序由NextSeq® 550测序平台完成,每个细胞产生平均30K reads。在PBMCs和T细胞中平均检测到~1,150个基因。Negative control 15个,Positive control 15个,T cells 530个,PBMCs 590个。 |
| |
| 点击查看Technote |
| |
| ■ 参考文献 |
| Litjens, Nicolle H. R., et al. Validation of a combined transcriptome and T cell receptor Alpha/Beta (TRA/TRB) repertoire assay at the single cell level for paucicellular samples. Front. Immunol., 11, (2020) |
| |
| |
产品详情请点击: |
| |
| 视频资料:《ICELL8系统T细胞受体测序(TCR-Seq)解决方案》 |
| |