二氧化硅负载型笼型膦

二氧化硅负载型笼型膦

  • 产品特性
  • 相关资料
  • Q&A
  • 参考文献

二氧化硅负载型笼型膦



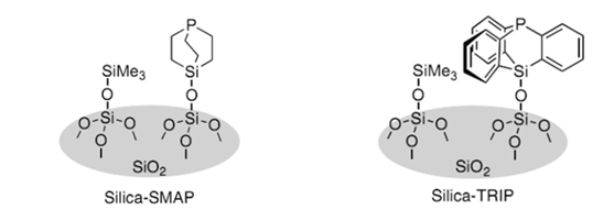
Silica-SMAP ( Silica-Supported Silicon-Constrained Monodentate Trialkylphosphine )

Silica-TRIP ( Silica-Supported Triptycene-Type Phosphine )



 

 本产品是在硅架桥部位上有结实的笼型膦的硅胶负载SMAP或TRIP的催化剂。Silica-SMAP(硅固定化笼型三烷基膦)

是一种Rh类催化剂,在有氮基的ARENE类的邻位选择性C-H直接硼化反应中有高实用性1)。另外,Silica-SMAP的类似

物Silica-TRIP(硅固定化三蝶烯型膦)在与氮原子邻近的烷基C-H键的直接硼化反应中有极高的催化剂活性2)

二氧化硅负载型笼型膦



有氮官能团的arene类的邻位选择性C-H直接硼化反应(Silica-SMAP)


二氧化硅负载型笼型膦

与N原子邻近的烷基的C-H直接硼化反应(Silica-TRIP)


二氧化硅负载型笼型膦

参考文献

1Kawamorita, S., Miyazaki, T., Ohmiya, H., Iwai, T., Sawamura, M.: J. Am. Chem. Soc .,  133 , 19310-19313 (2011).

2Kawamorita, S., Miyazaki, T., Iwai, T., Ohmiya, H., Sawamura, M.: J. Am. Chem. Soc .,  134 , 12924–12927 (2012).

产品编号 产品名称 产品规格 产品等级 产品价格
197-17451 Silica-SMAP 硅胶负载篮式结构型三烷基膦 1g for Organic Synthesis
193-17453 Silica-SMAP 硅胶负载篮式结构型三烷基膦 5g for Organic Synthesis
194-17461 Silica-TRIP 二氧化硅负载型笼型膦 1g for Organic Synthesis
190-17463 Silica-TRIP 二氧化硅负载型笼型膦 5g for Organic Synthesis