有机薄膜太阳能电池合成用试剂

有机薄膜太阳能电池合成用试剂

  • 产品特性
  • 相关资料
  • Q&A
  • 参考文献

       太阳能是能够再生的绿色能源,现今使用的太阳能电池都是以硅为底盘的,能够在高温或者真空使用,但是制造的成本较高也是问题之一。所以人们将目光聚集在次世代的常温涂布制造的太阳能电池——有机薄膜太阳能电池中。这次为大家介绍合成有机太阳能电池的中间体。

有机薄膜太阳能电池合成用试剂

产品编号 产品名称 产品规格 产品等级 产品价格
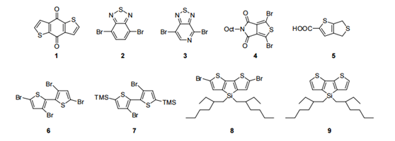
025-17321 Benzo[1,2-b:4,5-b’]dithiophene-4,8-dione 1g 有机合成用
021-17323 Benzo[1,2-b:4,5-b’]dithiophene-4,8-dione 5g 有机合成用
045-31961 4,7-Dibromo-2,1,3-benzothiadiazole 1g 有机合成用
041-31963  4,7-Dibromo-2,1,3-benzothiadiazole 5g 有机合成用
043-31962 4,7-Dibromo-2,1,3-benzothiadiazole 25g 有机合成用
043-32121 4,7-Dibromo-[1,2,5]thiadiazolo[3,4-c]pyridine  250mg 有机合成用
049-32123  4,7-Dibromo-[1,2,5]thiadiazolo[3,4-c]pyridine  1g 有机合成用
042-31971 1,3-Dibromo-5-octyl-4H-thieno[3,4-c]pyrrole-4,6(5H)-dione  1g 有机合成用
048-31973 1 1,3-Dibromo-5-octyl-4H-thieno[3,4-c]pyrrole-4,6(5H)-dione  5g 有机合成用
049-31981 4,6-Dihydrothieno[3,4-b]thiophene-2-carboxylic Acid  1g 有机合成用
045-31983 4,6-Dihydrothieno[3,4-b]thiophene-2-carboxylic Acid  5g 有机合成用
208-18851  3,3′,5,5′-Tetrabromo-2,2′-bithiophene  1g 有机合成用
204-18853  3,3′,5,5′-Tetrabromo-2,2′-bithiophene  5g 有机合成用
206-18852 3,3′,5,5′-Tetrabromo-2,2′-bithiophene  25g 有机合成用
040-32131 3,3′-Dibromo-5,5′-bis(trimethylsilyl)-2,2′-bithiophene 1g 有机合成用
046-32133  3,3′-Dibromo-5,5′-bis(trimethylsilyl)-2,2′-bithiophene 5g 有机合成用
047-32141  2,6-Dibromo-4,4′-bis(2-ethylhexyl)-4H-silolo [3,2-b:4,5-b’]dithiophene 1g 有机合成用
024-17651 4,4′-bis(2-ethylhexyl)-4H-silolo[3,2-b:4,5-b’]dithiophene 1g 有机合成用
020-17653  4,4′-bis(2-ethylhexyl)-4H-silolo[3,2-b:4,5-b’]dithiophene 5g 有机合成用