青霉素类抗生物质
- 产品特性
- 相关资料
- Q&A
- 参考文献
青霉素类抗生物质
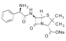
◆氨苄西林钠(Ampicillin Sodium)
|
CAS No. 69-52-3 C16H18N3NaO4S=371.39 可溶性溶剂:水 用途(作用):青霉素类抗生物质。和青霉素结合蛋白结合,抑制细胞壁的合成。抗菌光谱窄,但对革兰阴性菌和革兰阳性菌有杀菌作用。 |
|
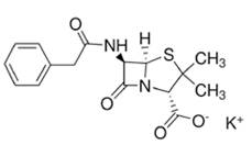
◆青霉素钾(Benzylpenicillin Potassium)
|
CAS No. 113-98-4 C16H17KN2O4S=372.48 滴度:1430units/mg 以上 可溶性溶剂:水 用途(作用):青霉素类抗生物质。和青霉素结合蛋白结合,抑制细胞壁的合成。 |
|
◆三水阿莫西林(Amoxicillin Trihydrate)
|
CAS No. 61336-70-7 C16H19N3O5S・3H2O=419.46 纯度:95.0+%(Titration) 可溶性溶剂:水 用途(作用):青霉素类抗生物质。和青霉素结合蛋白结合,抑制细胞壁的合成。抗菌光谱窄,但对革兰阴性菌和革兰阳性菌有杀菌作用。 |
|
◆苯唑西林钠一水合物(Oxacillin Sodium Monohydrate)
|
CAS No. 7240-38-2 C19H18N3NaO5S・H2O=441.43 力価:815 ~ 950μg/mg 可溶性溶剂:水 用途(作用):青霉素类抗生物质。和青霉素结合蛋白结合,抑制细胞壁的合成。对葡萄球菌有杀菌作用。 |
|
◆青霉素钠(Benzylpenicillin Sodium Salt)
|
CAS No. 69-57-8 C16H17N2NaO4S=356.38 力価:1500 ~ 1750units/mg 可溶性溶剂:水 用途(作用):青霉素类抗生物质。和青霉素结合蛋白结合,抑制细胞壁的合成。 |
|
相关资料详情请查看:http://www.boppard.cn/pdf/show/80.html
| 产品编号 | 产品名称 | 产品规格 | 产品等级 | 产品价格 |
| 016-23301 | Ampicillin Sodium 氨苄西林钠 | 5g | 生物化学用 | - |
| 012-23303 | Ampicillin Sodium 氨苄西林钠 | 10g | 生物化学用 | - |
| 014-23302 | Ampicillin Sodium 氨苄西林钠 | 25g | 生物化学用 | - |
| 023-07731 | Benzylpenicillin Potassium 青霉素钾 | 5g | 生物化学用 | - |
| 021-07732 | Benzylpenicillin Potassium 青霉素钾 | 25g | 生物化学用 | - |
| 017-14161 | Amoxicillin Trihydrate 三水阿莫西林 | 5g | 生物化学用 | - |
| 015-14162 | Amoxicillin Trihydrate 三水阿莫西林 | 25g | 生物化学用 | - |
| 154-02131 | Oxacillin Sodium Monohydrate 苯唑西林钠一水合物 | 1g | 生物化学用 | - |
| 150-02133 | Oxacillin Sodium Monohydrate 苯唑西林钠一水合物 | 5g | 生物化学用 | - |
| 158-02134 | Oxacillin Sodium Monohydrate 苯唑西林钠一水合物 | 10g | 生物化学用 | - |
| 024-18131 | Benzylpenicillin Sodium Salt 青霉素钠 | 5g | 生物化学用 | - |
| 022-18132 | Benzylpenicillin Sodium Salt 青霉素钠 | 25g | 生物化学用 | - |
| 020-18133 | Benzylpenicillin Sodium Salt 青霉素钠 | 100g | 生物化学用 | - |




